Share your experience!
New to this site so if it has been brought up before then apologies. Can anyone rcommend the best picture settings to get the best out of this TV. I have seen on other sites blogs making recommendations on other tvs but as this tv is new to the market i wondered if there were any opinions out there? Thanks.
Solved! Go to Solution.
Hi there
Best Picture Settings - Is a very difficult question to answer. This is because what is best for one person or situation is different to another. You could have a brighter or darker room compaired to another person, or that person likes a more vivid picture etc etc etc.
My advice is to create a chart or spreadsheet, then list down the settings that they are currently, and then change the settings over time.
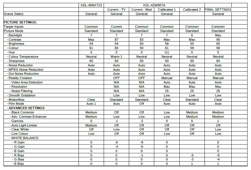
Below I have attached a screenshot of my spreadsheet (as I cant attach xls files) to this thread as an example - this is what I created for myself for my KDL-42W807A TV
Hope this assists
Cheers
I just finished calibrating my kdl50w829. Here are my settings for day time viewing.
system settings, eco, light sensor off.
Cinema 2
backlight, 6
contrast, 86
brightness, 50
colour, 50
hue, 0
colour temp warm 2
sharpness 50
All noise reduction options set to off
reality creation, manual
resolution 7
noise filtering, min
smooth graduation, low
motionflow true cinema
film mode auto
advance settings
black corrector, off
adv. contrast enhancer, off
gamma, -1
auto light limiter, off
clear white, off
live colour, off
white balance, R GAIN -4, G GAIN -14, B GAIN 0, R BIAS 0, G BIAS 0, B BIAS -2.
detail enhancer, off
edge enhancer, off
skin naturaliser, off
My night settings are the same but backlight is on 3. Bluray movies look stunning and very filmic.
Hi there
Best Picture Settings - Is a very difficult question to answer. This is because what is best for one person or situation is different to another. You could have a brighter or darker room compaired to another person, or that person likes a more vivid picture etc etc etc.
My advice is to create a chart or spreadsheet, then list down the settings that they are currently, and then change the settings over time.
Below I have attached a screenshot of my spreadsheet (as I cant attach xls files) to this thread as an example - this is what I created for myself for my KDL-42W807A TV
Hope this assists
Cheers
I just finished calibrating my kdl50w829. Here are my settings for day time viewing.
system settings, eco, light sensor off.
Cinema 2
backlight, 6
contrast, 86
brightness, 50
colour, 50
hue, 0
colour temp warm 2
sharpness 50
All noise reduction options set to off
reality creation, manual
resolution 7
noise filtering, min
smooth graduation, low
motionflow true cinema
film mode auto
advance settings
black corrector, off
adv. contrast enhancer, off
gamma, -1
auto light limiter, off
clear white, off
live colour, off
white balance, R GAIN -4, G GAIN -14, B GAIN 0, R BIAS 0, G BIAS 0, B BIAS -2.
detail enhancer, off
edge enhancer, off
skin naturaliser, off
My night settings are the same but backlight is on 3. Bluray movies look stunning and very filmic.
Hi Guys,
Not sure if anyone will see this. I am new to the site and have no idea how to post my query as a new post - thre does not appear to be an option to post?!
My question is when watching Blu Ray movies on my KDL48W585B - I sometimes get this grainy effect especially on darker scenes, I also feel like the colour is pale compared to how the image appeared on the shop floor when I bought the TV. I love my Sony Bravia but feel very frustrated as however much I fiddle with the settings - due to my lack of knowledge I feel like I cannot enjoy the TV the way it is supposed to be
Any help would be fantastic
Cheers
I have answered your question in your original thread.
http://community.sony.co.uk/t5/televisions/query-on-my-kdl-48w585b/m-p/1874414
Sometimes it does take someone time to answer, because the community forums is not run by Sony themselves, but by everyone (ie Community). What im trying to say is, you dont need to write the same things over multiple threads.
Cheers
Naznačite sviđanje na Facebooku
Pretplatite se na YouTubeu